|
PROPRIEDADES
DOS NÚMEROS COMPLEXOS
Dados os seguintes números complexos z = a + bi, w = c + di
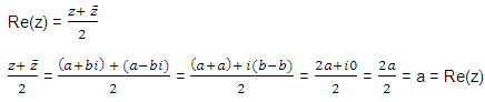
• A parte real de z é a metade da soma de z com seu
conjugado
• A parte imaginária de z corresponde ao quociente
da subtração entre z e seu conjugado e o número 2i.
• A soma de z com seu conjugado é o dobro da parte
real de z.

• O conjugado do conjugado de z é ele mesmo
• O conjugado da soma é a soma dos conjugados
• O conjugado do produto é o produto dos conjugado
• O módulo do quadrado de z é o quadrado do módulo
de z
• O produto de z por seu conjugado é igual ao quadrado do
módulo de z
• O inverso de z é igual ao quociente do conjugado pelo quadrado
do módulo de z
• O módulo do produto é o produto dos módulos
|