O que é uma progressão geométrica de razão 1/10?

Uma Progressão Geométrica é uma seqüência de números não nulos, onde qualquer termo (a partir do segundo) é igual ao antecedente multiplicado por uma constante. Essa constante é denominada razão da progressão, que indicaremos por q.

Assim a seqüência de números da forma (a, a.q, a.q², a.q³,...) representa uma PG.

Exemplo:


Você pode relembrar na Apresentação: demonstrações por indução , que está incluída no módulo I, Módulo dos inteiros.


A soma dos n termos de uma PG é dada pela expressão, para q > 0:

Se o primeiro termo da PG não é igual a 1, temos:


 

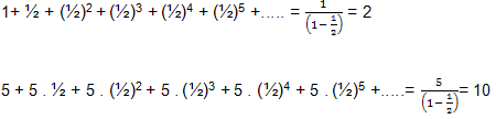
Exemplos:


A soma da PG é infinita, quando consideramos todos os termos, isto quer dizer que o número de termos n tende a infinito, é imensamente grande.

Neste caso, se a razão é menor que 1, como por exemplo, 1/2 ou 1/10, o termo da soma se aproxima de zero (faça testes para q = ½ e q = 1/10, tomando valores grandes para n, tais como 20, 50, etc).


Assim, para a soma infinita dos termos de uma PG
de razão menor do que 1, temos:

 


Exemplo: