|
NÚMEROS
COMPLEXOS NA FORMA ALGÉBRICA
A gênese do complexos
Durante dois mil anos a matemática cresceu sem
se importar com o fato de que as raízes quadradas dos negativos
não podiam ser calculadas.
Os gregos, não reconheciam os números negativos e nem precisavam
deles, pois seu interesse estava na geometria e, para a descrição
de quantidades como áreas e volumes, os números positivos
eram suficientes.
Os números imaginários passaram por uma evolução
semelhante. A impossibilidade de resolver a equação x²
+ a = 0 quando “a” é positivo era conhecida há
séculos, mas as tentativas de superar as dificuldades demoraram
a acontecer.
Foi apenas no século XIX que os matemáticos aceitaram e
formalizaram estes números.
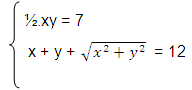
Os números complexos aparecem em muitos episódios da história
da matemática. Um deles é um problema proposto em 275 d.C.,
pelo matemático Diophanto, em sua obra Arithmetica, que
consistia em determinar os catetos x, y de um triângulo retângulo
com área igual a 7 e perímetro igual a 12. Ao chegar a um
raiz de número negativo, decidiu que o problema não tinha
solução. Realmente, não existe um triângulo
com estas medidas, mas é possível, hoje com os números
complexos resolver o sistema de equações:

No século XVI, o matemático Girolamo Cardano considera o
problema de dividir um segmento de comprimento 10 em duas partes, cujo
produto destas partes seja igual a 40.

Ou seja, resolver a equação
x(10 - x) = 40
O que exige achar as raízes do polinômio
x² -10x = 40
as quais são: x = 
Cardano chamou estas expressões de raízes
sofísticas, pois para ele elas eram “tão
sutis quanto inúteis”.
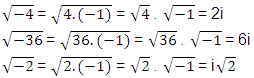
No século XVII, o matemáticoBombelli definiu 
Bombelli determinou algumas regras de operações para trabalhar
com :

Sobre a adição, enunciou a soma de dois números complexos:
Mais tarde, o matemático suíço Leonhard
Euler, definiu
i =
e o número complexo da forma z = a + bi.
A partir daí, números até então supostamente
inexistentes, tornaram-se um objeto matemático.
Exemplos:
Em fins do século XVIII, Carl Friedrich Gauss, em sua tese de doutorado
em matemática, mostra que toda a equação com coeficientes
reais ou complexos tem, no campo complexo, pelo menos uma raiz (Teorema
Fundamental da Álgebra).
Aplicando esta definição e fatorando um polinômio
de grau n (escrevendo-o como um produto de polinômios de graus menores),
Gauss mostra que as equações polinomiais de grau n têm
exatamente n raízes.
Exemplos:
1. z² + 1 = 0, deve ter duas raízes complexas 
2. z (z² + 1) = 0 ou seja z³ + z = 0 tem três soluções:
z = 0, 
3. x² + 2x + 2 = 0 tem duas soluções .
4. = 0, n natural,
tem n raízes, todas iguais a zero. Em outras palavras, a raiz z
= 0 tem multiplicidade n.
5. Analogamente =
1 tem n raízes.
Uma delas nós conhecemos .
Quais são as outras? Para responder, precisamos estudar a representação
trigonométrica dos números complexos. Aguarde o próximo
módulo.
Como podemos notar a história dos números complexos está
fortemente relacionada aos polinômios, uma vez que a “invenção”
deste novo conjunto numérico se deu através do estudo das
soluções de determinadas equações polinomiais.
Os números complexos também serviram como base para o estudo
das raízes das equações polinomiais, resultando na
demonstração do Teorema Fundamental da Álgebra.
A representação algébrica
do complexo
Um número complexo representa-se por z
= a + bi com a, b
R.
a é a parte real de z, Re(z) = a;
b é a parte imaginária de z, Im (z) = b. |
O complexo z é um número real se e só
se Im(z) = 0,
isto é: z = a + 0i = a.
O complexo z é um imaginário puro se e
só se Re (z) = 0 e Im (z)
0,
isto é z = 0 + bi = bi.
O complexo z é nulo se e só se Re (z) = Im (z) = 0.
Exemplos:
z = 0 com Rez = 0 e Im z = 0
z = 1 com Rez = 1 e Im z = 0
z = 10i com Rez = 0 e Im z = 10
z = 1+2i com Rez = 1 e Im z = 2
z = 0,5 + i com
Rez = 0,5 e Im z = 
z = + i
com Rez = e Im
z = 
Os números complexos apareceram como uma
extensão dos números reais.
O seu conjunto representa-se por C e define-se como sendo
C = {z = a+ bi: a, b
R e i² = -1}
R representa o conjunto dos números reais. |
A representação geométrica do complexo
Os números complexos podem ser identificados com pares
ordenados de números reais, e a representação gráfica
consiste em identificar cada par ordenado (a, b) com um ponto do plano,
cujas coordenadas retangulares são dadas por a e b.

Assim, a unidade imaginária i é simplesmente o par ordenado
(0,1), que é algo que se pode visualizar no plano. Essa visualização
foi fundamental para o progresso da teoria dos números complexos,
do mesmo modo que, ocorreu com os números negativos, que só
tornaram-se objetos de estudo quando num eixo orientado, assinalaram-se,
para eles, representações gráficas à esquerda
da origem.
A cada complexo z = a + bi, corresponde o ponto do plano P(a,
b), que se designa por afixo de z. Pode-se, também, considerar
o complexo z como o vetor OP, sendo O a origem do referencial.
Ao referencial com estas características dá-se o
nome de Plano Complexo ou Plano de Argand-Gauss.
|
Igualdade de Números Complexos
Dados dois complexos z = a + bi e w = c + di tem-se:
z = w se e só se
a = c e b = d |
Módulo de um Número Complexo
Dado um complexo z = a + bi, o módulo de z é a distância
do ponto P(a,b), correspondente a z, no plano complexo , à origem
do plano.
O módulo de z, cujo símbolo é, |z| é obtido
a partir da aplicação do Teorema de Pitágoras, sobre
o triângulo retângulo cujos catetos medem “a”
e “b”. O módulo de z é a medida da hipotenusa
deste triângulo.
Simétrico de um Número Complexo
O simétrico do número complexo z
= a + bi é o número -z = -(a + bi),
ou seja, -z = (-a) + i(-b).
|
Exemplo:
z = 0 com Rez = 0 e Im z = 0 e o simétrico de z é (–z)
= 0
z = 1 com Rez = 1 e Im z = 0 e o simétrico de z é (–z)
= -1
z = 1+2i com Rez = 1 e Im z = 2 e o simétrico de z é (–z)
= -1-2i
z = 0,5 + i com
Rez = 0,5 e Im z =
e o simétrico de z é
(–z) = - 0,5 - i
Conjugado de um Número Complexo
O conjugado do complexo z = a + bi é denotado
por = a
- bi. |
Exemplos:
z = 1+2i tem conjugado
= 1 - 2i
z = 0,5 + i tem
conjugado = 0,5
- i
A visualização das representações algébricas
e geométricas dos complexos e das suas operações
deve ser feita com auxílio deste aplicativo.
http://www.catedu.es/matematicas_blecua/index_ciencias.htm
Instruções de Uso
Ao entrar no site, você encontrará duas barrinhas horizontais
na lateral esquerda:
Primero
Segundo
Presione em Primero.
Você vai encontrar um título em vermelho: Numeros
complejos.
Pressione.
Você vai encontrar três importantes aplicativos para os números
complexos.
1. Números complexos na forma binômica
z = a + bi
Neste tópico, você pode fazer variar
os valores de a e b, num complexo z = a+ bi.
O aplicativo mostra a correspondente variação da representação
geométrica de z e de seu conjugado.
Procure alguns complexos como exemplos importantes: z = 1; z = i; z =
1 + i.
2. Operações com complexos
Neste tópico, você pode visualizar
no plano, o resultado das operações de dois complexos, dados
na forma algébrica.
Observe que a adição corresponde a encontrar a diagonal
do paralelogramo e que a multiplicação corresponde a uma
rotação, um giro.
3. Potências de i
Neste tópico, você pode variar n para
calcular e visualizar
a variação da representação geométrica.
Verifique que só existem 4 diferentes valores para .
Quatro Operações com Complexos: extensão
das operações com reais
Consideremos os números complexos
= a+bi e =
c+ di
Adição
Algebricamente, a soma é na forma:
+ =
a + c + (b + d)i
|
Justificativa:
Basta aplicar as propriedades comutativa e associativa da adição
e a propriedade distributiva da multiplicação com relação
à adição:
(a + bi) + ( c + di) = a + c + bi + di = (a + c) + ( b + d ) i
Exemplo:
(1 + 3i) + (-5 + 0,4 i) = = -4 + 3,4 i
Justifica-se do mesmo modo que a adição.
Exemplo:
(1 + 3i) - (-5 + 0,4 i) = = 6 + 2,6 i
| Multiplicação
1. Potências de i = :
De um modo geral, os valores das potências
de i se repetem de 4 em 4,
assim podemos dizer que:
para n inteiro não negativo e para k = 1,2,3,... |

Justificativa:
Basta aplicar a propriedade distributiva entre os termos:
(a+bi) . (c+di), igualando i² = -1
Exemplos:
(1 + 3i) . (-5 + 0,4 i) = 1.(-5) + 3.0,4.i² + 3.(-5) i + 1. 0,4 i
=
(-5 - 1,2) + (-15 + 0,4) i = -6,2 – 14,6 i
Divisão
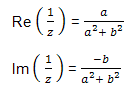
1. Inverso de um Número Complexo
Sendo z = a + bi com a e b não nulos, o seu inverso é
|
Justificativa
Partimos de z = a+bi.
Por extensão das propriedades dos números reais, podemos
representar
como mm
m
Mas nada sabemos sobre o significado deste símbolo:

Precisamos então transformá-lo na expressão padrão
para complexos:
Re(1/z) + i Im(1/z).
Para descobrir a parte real e a parte imaginária, recorremos ao
que sabemos sobre produtos notáveis:
(a + bi)(a - bi) = (a² + b²) (Verifique!)
Isto é: z. =
|z|²
Multiplicando e dividindo o novo número desconhecido
no numerador e no denominador, obtemos um número complexo na forma
algébrica padrão:
Exemplos:
Tomemos dois complexos da forma
= a + bi e
= c + di
Vejamos que para obter
,
basta multiplicar
por 1/ 
Exemplos
(2+3i) / (1-2i) = (2+3i) . 1/(1-2i) = (2+3i) . (1 + 2i)/ 5 = (-4 + 7i)
/ 5
Todas as propriedades¹
válidas para os números reais permanecem válidas
no conjunto dos complexos.
Desta forma, os complexos também constituem uma estrutura de CORPO,
com as operações de + e x.
Bibliografia:
Números Complexos, uma abordagem científica extraído
do site
http://www.educ.fc.ul.pt/docentes/opombo/seminario/euler/numeroscomplexos.htm#Representação%20Trigonométrica
LIMA, Elon Lages, CARVALHO, Paulo Cezar Pinto de, MORGADO, Eduardo César.
A matemática do ensino médio. Rio de Janeiro: SBM,2001.
ROSA, M. S. Números Complexos: Uma Abordagem Histórica.
Dissertação (Mestrado em Educação Matemática)
– Pontifícia Universidade Católica de São Paulo,
São Paulo, 1998. Disponível em http://www.pucsp.br/pos/edmat/ma/dissertacao_mario_servelli_rosa.pdf
______________
Nota Final
¹ Se você
quiser conhecer outras propriedades dos complexos, consulte o texto
Propriedades
dos complexos.
|